Dość mówić, że wygląd to nie wszystko – zwłaszcza w kwestii sprzętu RTV/AGD, gdzie nasze zadowolenie będzie w pełni zależne od możliwości technicznych danego urządzenia, a niekoniecznie jego aparycji. Choć nie odmawiamy designowi prawa do zajmowania ważnego miejsca na liście kryteriów wyboru, tak w tym poradniku, przygotowanym przez naszych specjalistów, dokładnie wytłumaczymy ci, którym parametrom odkurzaczy warto przyjrzeć się dokładniej.

Spis treści
O ile wiele dostępnych urządzeń potrafi wyglądać mocno designersko i z miejsca przyciągać naszą uwagę, tak wybierając wzrokiem, możemy się mocno rozczarować. I bynajmniej nie odmawiamy atrakcyjnym wizualnie modelom wysokiej skuteczności. Chcemy jedynie uczulić na fakt, że odkurzacz odkurzaczowi nierówny. Niektóre modele potrafią cieszyć oko podczas przeglądania ofert na portalach aukcyjnych, ale niestety cechują się niższą jakością wykonania, słabszą wytrzymałością fizyczną bądź – co najgorsze – zbyt niską skutecznością sprzątania, by zapewnić akceptowalną czystość.
Na ergonomię należy zwrócić szczególną uwagę, gdyż to właśnie ona będzie determinowała przyjemność ze sprzątania w największym stopniu, zaraz po wydajności urządzenia. Ta cecha będzie składową co najmniej kilku czynników – środka ciężkości (przy odkurzaczach pionowych), ogólnej wagi oraz odpowiedniego wyprofilowania. Przyjmuje się, że waga odkurzacza pionowego, która nie nastręczy nam problemów nawet podczas długich sesji, będzie wynosiła około 2,5 kg. O ile samo wyprofilowanie trudniej będzie nam już ocenić na podstawie suchych zdjęć i karty produktowej, tak podpowiedź mogą już stanowić nadane rekomendacje, takie jak atest PZH czy certyfikat niemieckiej organizacji AGR, którego przyznanie poświadcza bezpieczeństwo użytkowania danego modelu dla kręgosłupa. Wydajność? W skrócie: zwróć uwagę na Airwatty [AW], czyli siłę ssania i pojemność energetyczną baterii [Wh]. Po resztę wiedzy zapraszamy niżej.

Wyższość wydajności, ergonomii i jakości nad designem wydaje się więc oczywistą oczywistością. O ile o jakości wykonania najłatwiej przekonać się organoleptycznie i poprzez analizę materiałów, tak określenie pierwszego z wymaganych parametrów – i najważniejszego – będzie wymagało od nas już bardziej specjalistycznej wiedzy. Wiedzy, którą postaramy się w prosty sposób wyłożyć w dalszej części tekstu.
Podstawowy wybór, przed którym staniemy, kupując odkurzacz, będzie dotyczył sposobu jego zasilania. Klasyczne odkurzacze przewodowe to konstrukcje, przeznaczone do zwykłego podłączania w gniazdku elektrycznym, wyposażone w przewód o długości (najczęściej) ok. 6-7 metrów. Zalet i wad tego tradycyjnego rozwiązania nie trzeba się domyślać. O ile bowiem gwarantujemy sobie w ten sposób możliwość sprzątania bez przerwy, nie musząc pamiętać o ładowaniu baterii, tak sam przewód, plączący się o różne elementy wyposażenia domowego może być już uciążliwy. Problem ten może być szczególnie dotkliwy w przypadku, gdy posiadamy w naszym domu lekkie stoliki, rzeźby i komody – zwłaszcza z drogimi przedmiotami – które z łatwością możemy przewrócić. Konieczność rozplątywania kabla i przepinania się między gniazdkami może być równie frustrująca.
Decydując się na odkurzacz przewodowy, pamiętaj o tym, by zdecydować się na model o możliwie jak najdłuższym (najlepiej samoczynnie zwijanym) kablu, zakończonym solidną, pewnie siedzącą w gniazdku wtyczką. Tu zresztą ujawnia nam się kolejna – często pomijana w innych zestawieniach wada, czyli ryzyko wyrwania kontaktu ze ściany przez silnie naprężony przewód. Modele tego typu mogą nas jednak skusić swoją niższą ceną oraz wspomnianym brakiem potrzeby ładowania, istotnym w trakcie dłuższych bądź najmniej spodziewanych prac sprzątających.
Co nie znaczy, że odkurzacze bezprzewodowe zawiodą nas na tym polu. Urządzenia te wyposażane są w akumulatory litowo-jonowe, ładowane za pośrednictwem dołączanych stacji dokujących, które są w stanie zagwarantować nam nawet do ponad 90 minut sprzątania dla odkurzaczy pionowych lub 3 godzin dla odkurzaczy automatycznych. O pojemności akumulatora, podawanej zwykle w jednostce mAh lub Wh oraz wpływowi, jaki wywiera ona na siłę ssania, rozpisujemy się szerzej poniżej.
Moc silnika spotykana w kartach produktowych także pod nazwą mocy znamionowej [W] – jest niczym więcej, jak strumieniem energii, pobieranej z sieci, niezbędnej do jego prawidłowego działania w określonym trybie pracy. W odkurzaczach bezprzewodowych znajdziemy silniki prądu stałego DC, a w przewodowych – z reguły przemiennego AC, które po podaniu napięcia zaczną obracać się z prędkością obrotową zależną od konkretnego modelu.
Moc silnika większości modeli odkurzaczy pionowych i klasycznych mieści się w granicach do 650 W (maksymalnie do 900 W według przepisów UE), z kolei dla robotów sprzątających – ok. 40-70 W. Tu z miejsca uczulamy, że parametr ten nie będzie stanowił dla nas rzeczywistej informacji o tym, z jaką siłą zanieczyszczenia zasysane są do worka bądź pojemnika na odpady. Jego znajomość pozwoli nam jednak obliczyć koszt, jaki przyjdzie nam ponieść za określony czas działania odkurzacza według następującego wzoru:

I tak w teoretycznym przypadku, posiadając odkurzacz o mocy 600 W i użytkując go przez godzinę przez 3 dni w tygodniu, przy średniej cenie 0,68 zł/1 kWh, nasz miesięczny rachunek za energię wzrośnie o 4,89 zł.
Jedną ze składowych, która będzie w stanie pomóc nam w określeniu sprawności odkurzacza, czyli stosunku mocy pobieranej z sieci do mocy zamienianej na pracę, będzie znajomość napięcia i natężenia prądu, pobieranego przez urządzenie. Wiedząc, że moc jest ich iloczynem (według prostego szkolnego wzoru P = U • I) , możemy dojść do następującego wniosku: im wyższe jest napięcie pracy danego modelu (mówiąc o modelach bezprzewodowych), tym niższe natężenie, a co za tym idzie – także i mniejsze straty cieplne. Dwukrotny wzrost napięcia [V] będzie więc pozwalał na pobór prądu o ok. dwa razy niższym natężeniu.
Jak to rozumieć? Robot sprzątający o napięciu zasilania 36 V, do uzyskania mocy 100 W będzie pobierał z akumulatora prąd o natężeniu 2,77 A. Inny model z kolei o napięciu baterii 18 V, a więc dwukrotnie niższej, będzie potrzebował do wygenerowania tej samej mocy aż 5,55 A. W efekcie realne przełożenie mocy pobieranej do mocy rzeczywiście zamienianej na pracę (moc ssania) będzie w pierwszym przypadku korzystniejsze, niż w drugim, w którym wystąpią większe straty cieplne.

Pod terminem „moc ssania” spotykamy się w przypadku odkurzaczy bardzo często z wartościami podanymi w paskalach (Pa) – co jest całkowicie błędne. Są to bowiem dwa różne parametry – choć równie użyteczne dla klienta – i nie powinny być ze sobą mylone. Tytułowa moc ssania określa bowiem moc mechaniczną, z którą zanieczyszczenia pobierane są z powierzchni, a więc „czystą” energię, która pozostaje do naszej dyspozycji po odjęciu strat. Najczęściej jej wartość podawana jest w jednostkach watów (W) lub AirWatt (AW). Przykład wykorzystania tej drugiej jednostki znajdziemy m.in. w odkurzaczach pionowych Dyson i niektórych modelach odkurzaczy pionowych Dreame. W paskalach (Pa) wyrażone jest wytwarzane przez urządzenie podciśnienie, czyli siła ssąca (a nie moc).
Moc ssania wyrażana w AirWattach liczona jest jako iloczyn przepływu powietrza i wytwarzanego podciśnienia. AirWatt to obiektywnie najlepszy parametr do porównywania wydajności odkurzaczy. W obliczeniach należy jednak pamiętać, że przepływ powietrza powinien być podany przy określonej wartości podciśnienia. Niektórzy producenci, w celu sztucznego zawyżenia wyniku, podają przepływ swobodny – z tego powodu porównywanie mocy ssania w AW ma największy sens z reguły w obrębie urządzeń jednej marki. W naszych specyfikacjach znajdziesz wartości AW przy każdym odkurzaczu pionowym – jeśli producent jej nie podaje, to szacujemy dla danej marki, abyś w łatwy sposób mógł sobie porównać.
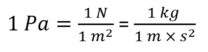
Siła ssania to jeden z najważniejszych parametrów z punktu widzenia efektywności sprzątania, determinujący zdolność urządzenia do zasysania cząsteczek brudu. Chcąc zdefiniować ją w sposób możliwie jak najbardziej ścisły, powiedzielibyśmy, że jest to wartość ciśnienia [Pa], generowanego przez odkurzacz, które umożliwia zasysanie kurzu do pojemnika. Parametr ten bywa również podawany w zestawieniu z mocą odkurzacza, co może być wyrażane jako stosunek ciśnienia do mocy [kPa/W].
Należy pamiętać, że paskal [Pa] to jednostka ciśnienia w układzie SI, która oznacza jednego niutona na metr kwadratowy [N/m²].

Generowane podciśnienie uzależnione jest od przekroju używanej końcówki. Dla przykładu, jeśli odkurzacz generuje ciśnienie 5 000 Pa i zmniejszymy pole powierzchni przekroju ssawki o połowę, ciśnienie wzrośnie dwukrotnie, do 10 000 Pa, przy założeniu, że przepływ powietrza pozostanie taki sam. Naturalnie, im wyższą siłą ssania cechuje się wybrany przez nas model odkurzacza, tym skuteczniej poradzi sobie on z brudem, zwłaszcza tym głębiej osadzonym, np. w strukturze dywanu bądź innej wykładziny. Ponieważ większość odkurzaczy posiada podobną powierzchnię ssawki, wartości ciśnienia można porównywać między modelami różnych producentów.
Przepływ powietrza, wyrażany w m³/h lub l/s, należy zdefiniować jako ruch powietrza, wywierany na odkurzaną powierzchnię i zasysający brud do pojemnika na odpady. Jego znajomość pozwala nam określić rzeczywistą zdolność czyszczącą danego modelu z uwagi na jednoczesne uwzględnianie zarówno siły ssania, generowanej przez silnik, pracujący przy określonej mocy, jak i opór worka i systemu filtrującego, przez które przechodzi zasysane powietrze. Optymalną wartością tego parametru, sprawdzającą się w większości zastosowań domowych i biurowych, będzie około 45-60 l/s.

Przepływ powietrza odkurzaczy mierzony jest bez podłączonej rury, węża i innych końcówek z uwagi na konieczność usunięcia czynników, które mogłyby wpłynąć na odczyt, takich jak wywoływane wewnątrz nich turbulencje, straty wynikające z ograniczenia strumienia między odkurzaczem a powierzchnią, zwiększony opór, stopień zabrudzenia filtrów, czy spadek wydajności, wywołany wypełnieniem worka lub pojemnika na odpady. Należy pamiętać, że ewentualny spadek w ostatnim z wymienionych, z uwagi na wykorzystywanie zaawansowanych technologii cyklonowych, na ogół nie przekracza 1%. Ostatecznie sam przepływ powietrza, choć dobrze oddaje rzeczywistą zdolność danego modelu do zbierania brudu (choć najlepiej robią to Air Watty), nie jest podawany przez większość producentów.
Zgodnie z obowiązkiem, narzucanym przez przepisy Unii Europejskiej, każdy odkurzacz wyposażony jest od 2018 w etykietę energetyczną, obrazującą wydajność urządzenia w skali od A+++ do D. Naturalnie im wyższa klasa, tym na niższe zużycie energii w stosunku do wydajności możemy liczyć. Etykiety energetyczne, dołączane do odkurzaczy, zawierają także inne wartościowe informacje, takie jak średnie zużycie energii w kWh, poziom głośności, klasa reemisji kurzu, czy klasa skuteczności odkurzania podłóg twardych i dywanów. Każdy z tych parametrów rozwijamy w następnych częściach poradnika.
Czytaj również, jakie mamy: klasy energetyczne odkurzaczy
Rola filtrów powietrza w odkurzaczach polega na zatrzymywaniu lub neutralizowaniu zanieczyszczeń, zasysanych i transportowanych następnie do pojemnika na brud. Rodzaj zastosowanych rozwiązań będzie szczególnie istotny dla alergików oraz osób, które ze względów zdrowotnych wymagają przebywania w możliwie jak najczystszym środowisku, wolnym od bakterii, wirusów, kurzu i innych potencjalnie niebezpiecznych związków. W tym miejscu podkreślamy po raz kolejny przepaść, dzielącą sprawdzone urządzenia renomowanych producentów o potwierdzonej laboratoryjnie skuteczności od najbardziej budżetowych modeli, charakteryzujących się filtracją na bardzo niskim poziomie.

Najlepsze dostępne odkurzacze wyposażane są w wysokoskuteczne filtry cząsteczkowe HEPA – podobnie jak oczyszczacze powietrza – wykonane z tworzyw sztucznych (najczęściej polimerów), mających za zadanie zatrzymywanie i neutralizowanie najmniejszych zanieczyszczeń, takich jak alergeny, zarodniki pleśni i grzybów, bakterie, wirusy, czy drobne pyłki o średnicy nawet zaledwie 0,3 mikrometra. Rzesze producentów decydują się stosować swoje własne, autorskie rozwiązania – często wielopoziomowe, jak w odkurzaczach Electrolux czy odkurzaczach pionowych Philips. Marki te montują w swoich urządzeniach także filtry węglowe, posiadające zdolność do adsorpcji, czyli przyciągania i neutralizowania na swej powierzchni cząsteczek, odpowiedzialnych za nieprzyjemny zapach. Problematyczne mogą okazać się filtry, stosowane w odkurzaczach wodnych, które wymagają od użytkownika częstego mycia i suszenia z uwagi na możliwość rozwoju bakterii i grzybów na ich powierzchni.
Ostatecznie należy pamiętać, by zaufaniem darzyć zwłaszcza modele o skuteczności, potwierdzonej na drodze badań, przeprowadzanych przez certyfikowane jednostki. Ostatecznie zarówno odkurzacz pionowy, jak i poziomy odkurzacz tradycyjny, przy połączeniu z hermetyczną budową całej konstrukcji – jest w stanie zagwarantować użytkownikowi skuteczność na poziomie nawet 99,9%.
Hałas to nic innego, jak dźwięki o wysokim natężeniu, uznawane przez nas zmysł słuchu za nieprzyjemne, a bardziej naukowo – drgania akustyczne o wysokiej częstotliwości. Odgrywa on w przypadku odkurzaczy ogromną rolę, wpływając na nasze skupienie, przyjemność ze sprzątania i komfort reszty domowników. Parametr ten będzie istotny, zwłaszcza jeśli posiadamy dzieci bądź zwierzęta, szczególnie wrażliwe na wysokie składowe harmoniczne dźwięku. Poziom głośności w przypadku odkurzaczy podawany jest za pomocą dwóch parametrów:
Dobre odkurzacze, wyposażone w hermetyczną konstrukcję i specjalne systemy uszczelek, charakteryzuje głośność pracy na poziomie około 60-70 dB. Należy pamiętać, że im większym metrażem dysponujemy – co bezpośrednio przekłada się na długość sesji sprzątania – tym cichszy model powinniśmy wybrać. A już zwłaszcza, gdy czas na sprzątanie znajdujemy jedynie w porze wieczornej. Niezwykle ciche są na przykład odkurzacze pionowe marki Sharp.

Pojemność baterii będzie dotyczyła oczywiście odkurzaczy bezprzewodowych, wyposażonych w akumulatory litowo-jonowe o określonej pojemności, wyrażanej najczęściej przez producentów w mAh. Należy mieć jednak na uwadze, że porównywanie między sobą modeli w tej jednostce może być zgubne. Dlaczego?
Z uwagi na różne napięcie pracy, o którym pisaliśmy w punkcie, poświęconym mocy silnika. Amperogodzina określa bowiem zdolność baterii do zasilania obwodu elektrycznego prądem o danym natężeniu w określonym czasie, opisując magazynowaną przez nią energię, której bez znajomości napięcia nie jesteśmy w stanie określić. Weźmy za przykład dwa odkurzacze o takiej samej pojemności – 2000 mAh – jednak różniące się między sobą napięciem zasilania – 36 i 18 V. Pierwszy z nich będzie cechował się w rzeczywistości dwukrotnie większą pojemnością, w rozumieniu zmagazynowanej energii, przekładającą się następnie na czas pracy.

W celu realnego porównania ze sobą modeli pod względem oferowanej pojemności powinniśmy określić ją w Watogodzinach [Wh], czyli iloczynie napięcia akumulatora i pojemności w Amperogodzinach [Ah]. I tak przykładowo akumulator 2500 mAh, pracujący przy napięciu 25 V, będzie cechowała pojemność na poziomie 62,5 Wh. Na tej podstawie będziemy w stanie wyliczyć następnie szacunkowy czas pracy na maksymalnych obrotach urządzenia poprzez podzielnie pojemności w Wh przez moc silnika. Co ważne, nasze specyfikacje mają podaną jednostkę Wh przy akumulatorach, która realnie oznacza sprawność każdej baterii – im wyższa, tym dłuższa praca odkurzacza.
Czas ładowania także możemy obliczyć samodzielnie poprzez podzielenie pojemności akumulatora w mAh przez prąd ładowania stacji dokującej bądź zasilacza. Średni czas ładowania odkurzaczy bezprzewodowych wynosi ok. 3-4 godzin, jednak niektóre konstrukcje, za sprawą wydajnych, inteligentnych systemów, będą gotowe do pracy w zaledwie 2 godziny.
Czytaj również, jaki jest: czas pracy bezprzewodowych odkurzaczy
Klasa reemisji kurzu to parametr, umieszczany obowiązkowo na każdym odkurzaczu, dopuszczanym do sprzedaży w krajach Unii Europejskiej, opisujący procent całkowitej liczby cząstek kurzu, emitowanych przez urządzenie do całkowitej liczby cząstek kurzu o średnicy 0,3-10 μm, zasysanych przez otwór wlotowy. Mówiąc inaczej, klasa reemisji będzie mówić nam procentowo, jak wiele cząsteczek, które zostają zassane przez odkurzacz, trafia z powrotem do pomieszczenia podczas jego wydmuchu i z powodu nieszczelności konstrukcyjnych.
Aktualnie wyróżniamy siedem klas reemisji kurzu kolejno od A do G, zawierających następujący maksymalny poziom cząsteczek zassanych w powietrzu wydmuchiwanym:
Parametr ten będzie szczególnie istotny dla osób, posiadających zwierzęta, zmagających się z alergiami (czytaj też o odkurzaczach dla alergików) czy chorobami układu oddechowego, nerwowego lub skóry, wrażliwych na obecność nawet najmniejszych, niewidocznych gołym okiem drobin.
Kolejnym parametrem, umieszczanym na kartach efektywności energetycznej odkurzaczy, jest klasa skuteczności odkurzania dywanów. Opisuje ona za pomocą wskaźnika dpu c, jak wiele zanieczyszczeń jest w stanie zebrać dany model w skali od A do G, gdzie klasa A oznacza skuteczność na poziomie 100-120%, a G – 70%. Analogiczną skalę wyróżniamy w przypadku podłóg, gdzie klasa A opisuje 120% skuteczność w usuwaniu brudu, a najniższa, G – 90%.
W zależności od modelu, na który się zdecydujemy, nasz odkurzacz będzie wyposażony albo w wymienne worki, albo trwałe, podlegające jedynie okresowemu myciu zbiorniki (najczęściej z tworzywa sztucznego). Ich pojemność potrafi się między sobą znacznie różnić, osiągając przeciętnie 300-500 ml dla robotów sprzątających, 400-800 ml dla odkurzaczy pionowych, 3-8 l dla odkurzaczy klasycznych i nawet powyżej 20 litrów dla odkurzaczy wielofunkcyjnych, przeznaczonych do użytku półprofesjonalnego i profesjonalnego.

Przyjmuje się, że pojemność stałych pojemników na poziomie 500-800 ml będzie najzupełniej wystarczająca do posprzątania mieszkań nawet o dużym metrażu. Dzięki obecnej w wielu modelach funkcji łatwego usuwania brudu pozbędziemy się także potencjalnego ryzyka ich ponownego przedostania się do powietrza bądź zetknięcia z naszą skórą lub odzieżą. W przypadku odkurzaczy workowych najlepszym wyjściem będzie zdecydowanie się na model, oferujący możliwie jak największą pojemność. Należy także pamiętać, że w tanich modelach odkurzaczy ich siła ssąca może spadać w miarę zapełnienia pojemnika lub worka, wymagając od nas ich częstszego opróżniania lub wymiany.
Waga całej konstrukcji odkurzacza to jeden z najczęściej pomijanych podczas doboru parametrów – i całkowicie niesłusznie, gdyż powinna ona odgrywać jedną z kluczowych ról podczas doboru zwłaszcza odkurzaczy pionowych. Na aspekt ten powinny zwrócić szczególną uwagę osoby, dysponujące dużym metrażem, wydłużającym czas sprzątania, oraz wszyscy, którzy planują wykorzystywać urządzenie do czyszczenia wyżej położonych półek, sufitów czy lamp.

Waga standardowego odkurzacza pionowego mieści się najczęściej w przedziale 2-4 kg, z kolei robotów sprzątających (gdzie nie będzie aż tak istotna) – od 3 do 5 kilogramów. Wielu producentów – np. marka Dreame – oferuje konstrukcje, które w standardowym wyposażeniu w rurę i podstawową elektroszczotkę ważą zaledwie w okolicach 1,5 kg. I to właśnie one będą najlepszym wyborem dla osób, mieszkających w dużych apartamentach i domach.
Łączność Wi-Fi oraz obecność aplikacji mobilnej, pozwalającej sterować pracą urządzenia z dowolnego miejsca na świecie, stanowi absolutny niezbędnik we wszystkich sprzedawanych robotach sprzątających. Niemal każdy dostępny dziś odkurzacz automatyczny oferuje oprogramowanie, dostępne zarówno na smartfony z systemem Android, jak i iOS, pozwalając użytkownikowi na skorzystanie m.in. takich funkcji, jak (w zależności od modelu):
Łączność Wi-Fi, oferowana przez odkurzacze automatyczne, pozwala na włączenie ich do instalacji smart home różnych producentów – od tworzonych na zamówienie rozwiązań, po systemy, takie jak:
W zależności od używanego przez nas systemu, włączając robota sprzątającego do instalacji smart home, otrzymamy możliwość jeszcze lepszej pracy automatycznej, dostosowanej np. do poziomu zanieczyszczeń, wykrytego przez rozmieszczone w domu czujniki bądź oczyszczacze powietrza, czy opcję wygodnego sterowania głosowego.
Podstawę każdego odkurzacza automatycznego stanowi zestaw specjalnych czujników, automatyzujących jego pracę poprzez analizę otoczenia, mapowanie oraz – w niektórych modelach – wykrywanie zanieczyszczeń. W zależności od urządzenia możemy spotkać się m.in. z takimi rozwiązaniami, jak:
Gotowe! Mając na uwadze najważniejsze wymienione przez nas parametry techniczne, możesz podejść do kwestii wyboru odpowiedniego odkurzacza w pełni świadomie, unikając potencjalnej wpadki. Jeśli jednak wciąż masz wątpliwości – skontaktuj się z naszymi ekspertami. Poza sprzedażą wyłącznie najlepszych urządzeń sprzątających oraz oczyszczających powietrze zajmujemy się fachowym, kompleksowym doradztwem w tym zakresie. Wybierz odkurzacz dopasowany do twoich potrzeb i zacznij cieszyć się prawdziwą czystością! Pamiętaj również, że możesz skorzystać z naszego niesponsorowanego rankingu odkurzaczy pionowych z jawnym wzorem dla każdego. Poniżej przedstawiamy wyselekcjonowane odkurzacze pionowe przez naszych specjalistów.
Pierwszym odkurzaczem pionowym do 1000 zł jest odkurzacz pionowy Sharp i model SA-VP4221BS japońskiej marki, który aktualnie zajmuje pierwszą pozycję w naszym rankingu w zakresie opłacalności. Już za {{product-876-current-price-txt}} zł zyskujemy sprzęt o dobrej mocy ssania oraz wytrzymałą baterię z gwarancją długiego czasu pracy.

odkurzacz pionowy Sharp SA-VP4221BS
Kolejna nasza propozycja to odkurzacz pionowy marki Dreame i ich flagowy model T20. Warto zaznaczyć, że producent należy do ekosystemu Xiaomi, a prezentowany odkurzacz oferuje dosyć pokaźny zestaw akcesoriów dodatkowych oraz bardzo dobrą moc ssania i wydajną baterię. W cenie {{product-406-current-price-txt}} zł otrzymujemy naprawdę fajny sprzęt do odkurzania każdej powierzchni.

Ostatnim w tym przedziale cenowym jest kolejna propozycja od japońskiego producenta. Za {{product-770-current-price-txt}} zł otrzymujemy odkurzacz pionowy z dodatkową baterią, dzięki czemu możemy wydłużyć znacznie czas odkurzania! Urządzenie ponadto cechuje się cichą pracą oraz dobrą mocą ssania.

Na tej liście nie mogło zabraknąć niemieckiego producenta, którego sprzęt należy do najlepiej wykonanych. Odkurzacz pionowy Miele z serii Duoflex HX1 dostępny jest w 3 wersjach kolorystycznych. Już za {{product-746-current-price-txt}} zł otrzymujemy perfekcyjnie zaprojektowany odkurzacz pionowy, który da sobie radę z odkurzeniem każdej powierzchni w domu.
W tym przedziale cenowym na pewno wart uwagi jest odkurzacz pionowy Electrolux z serii Hygienic 700 UV, gdzie jak sama nazwa wskazuje – został wyposażony w dodatkową końcówkę z lampą UV usuwającą bakterie oraz alergeny. W cenie {{product-639-current-price-txt}} zł otrzymujemy sprzęt od sprawdzonego szwedzkiego producenta, który należy do ścisłej czołówki w kategorii bezprzewodowych odkurzaczy.
Ostatnim przedstawicielem tego zakresu cenowego jest uznany duński producent. Odkurzacz pionowy marki Vestfrost oferuje dodatkową funkcję mopowania pasywnego i to już w cenie zaledwie {{product-631-current-price-txt}} zł. Ponadto powiększony zbiornik na kurz i sprawna bateria świadczą o klasie produktu. Warto zauważyć, że jest to obecnie nasz TOP2 w rankingu opłacalności.
Ten przedział cenowy należy zacząć od obecnie najpopularniejszego producenta odkurzaczy. Przedstawiamy Dyson V8 Absolute New, czyli wersję odświeżoną z 2025 roku. Ten odkurzacz pionowy Dyson jest w cenie {{product-866-current-price-txt}} zł i pozwala na swobodne odkurzenie każdej powierzchni. Jest to bardzo cichy odkurzacz z bogatym wyposażeniem dodatkowym. Na pewno jego cechą wyróżniającą jest oryginalny i nowoczesny design.

odkurzacz pionowy Dyson V8 Absolute New
Kolejną naszą rekomendacją w tym przedziale cenowym jest szwedzki Ultimate 700 Turbo Drive z dobrym wyposażeniem dodatkowym. Sprzęt całkiem sprawnie radzi sobie ze zbieraniem zanieczyszczeń, a bogate wyposażenie pozwala na odkurzenie każdego zakamarku w mieszkaniu. W cenie {{product-677-current-price-txt}} zł zyskujemy sprawdzony model od renomowanego producenta.

odkurzacz pionowy Electrolux Ultimate 700 Turbo Drive
Ostatnią propozycją w cenie do 2 000 zł jest niemiecka pewność, czyli odkurzacz Miele Duoflex HX1 Total Care w cenie {{product-754-current-price-txt}} zł. Wydajna bateria, dobra moc ssania oraz wysoka kultura pracy – to mocne atuty tego odkurzacza pionowego.

Co oznacza odkurzacz pionowy z funkcją aktywnego mopowania? Aktywne mopowanie odróżnia się od pasywnego, że użyte są obrotowe pady, a nie statyczny mop ciągnięty za jednostką główną. W dodatku innowacyjna stacja myjąca sprawia, że Electrolux Power Hygienic 800 nie ma sobie równych. Już za {{product-678-current-price-txt}} zł otrzymujemy odkurzacz zajmujący pierwsze miejsce w naszym rankingu odkurzaczy bezprzewodowych!

odkurzacz pionowy Electrolux Power Hygienic 800
Oczywiście na tej liście nie mogło zabraknąć brytyjskiego producenta. Dyson V15s Detect Submarine jest jedynym odkurzaczem w ofercie producenta, który został wyposażony w funkcję mopowania (również aktywnego). W cenie {{product-727-current-price-txt}} zł otrzymujemy jeden z najmocniejszych odkurzaczy bezprzewodowych z niezwykle wydajną baterią, sporym zbiornikiem na kurz oraz pokaźnym akcesorium dodatkowym. Jest to obecnie TOP3 w rankingu.

Wybór odkurzacza to decyzja na lata, dlatego warto zwrócić uwagę nie tylko na parametry techniczne, ale również na markę producenta. To ona często decyduje o jakości wykonania, trwałości urządzenia, dostępności serwisu oraz poziomie innowacji. Wśród najlepiej ocenianych marek na rynku wyróżnia się przede wszystkim Dyson, znany z pionierskich rozwiązań technologicznych. Modele takie jak V15 Detect czy Gen5 Detect cieszą się dużym uznaniem za moc ssania, precyzyjne wykrywanie kurzu i zaawansowaną filtrację. Użytkownicy doceniają także inteligentne funkcje oraz mobilność tych urządzeń, choć niektórzy zauważają, że ich cena bywa zawyżona względem realnych potrzeb.
Na drugim biegunie znajduje się Miele – marka kojarzona z niezawodnością, wysoką jakością i ponadprzeciętną trwałością. Jej klasyczne modele workowe, jak Blizzard CX1, są często wybierane przez właścicieli zwierząt i alergików. W opiniach użytkowników regularnie pojawiają się komentarze o wieloletnim, bezproblemowym działaniu odkurzaczy tej firmy, co czyni je jednym z najlepszych wyborów dla osób szukających sprzętu na długie lata. Miele jest także chwalone za solidną konstrukcję i skuteczną filtrację, często stawiane wyżej od Dysona pod względem żywotności.
Na rynku nie brakuje również marek, które od lat oferują solidne odkurzacze klasyczne – wśród nich warto wymienić Electrolux, Bosch i Philips. Electrolux zbiera pozytywne opinie za cichą pracę, wygodę obsługi i skuteczną filtrację. Bosch przyciąga użytkowników modelami wyposażonymi w funkcję mopowania, natomiast Philips wyróżnia się korzystnym stosunkiem ceny do jakości, oferując niezawodne i kompaktowe urządzenia.
Podsumowując – jeśli szukasz innowacyjnych funkcji i nowoczesnego designu, dobrym wyborem będzie Dyson. Jeśli zależy Ci na trwałości i klasycznej niezawodności – postaw na Miele. Bosch, Electrolux i Philips to sprawdzone marki oferujące odkurzacze do codziennego użytku, które nie zawodzą.